Kinetic Energy Meaning (गतिज ऊर्जा का अर्थ क्या है)
दोस्तों गति करती हुई किसी भी वस्तु में उसकी गति के कारण जो भी ऊर्जा उत्पन्न होती है उसे हम गतिज ऊर्जा कहते हैं,
स्थिर यानी कि विराम रखी हुई किसी भी वस्तु को गतिज उर्जा में बदलने के लिए उस पर बाहरी दबाव का लगना आवश्यक है यानी कि जब तक किसी वस्तु पर कोई बाहरी दबाव नहीं लगता तब तक उस वस्तु में स्थिर ऊर्जा बनी रहती है और जब उस वस्तु पर बाहरी दबाव लगता है तब वह स्थिर ऊर्जा गतिज ऊर्जा में परिवर्तित हो जाती है,
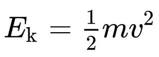
गतिज ऊर्जा = ½ ×द्रव्यमान×वेग
और दोस्तों इसी तरह गतिज ऊर्जा को स्थिर ऊर्जा में बदलने के लिए गतिज ऊर्जा के ऋणआत्मक बाहरी ऊर्जा लगानी होगी , अन्यथा गतिज ऊर्जा स्थिर ऊर्जा में परिवर्तित नहीं होगी । यदि किसी पिंड की गतिज ऊर्जा E हैं तो उसे विराम अवस्था मे लाने के लिए E के बराबर ऋणात्मक कार्य करना पड़ेगा।
kinetic energy example in Hindi
दोस्तों गतिज ऊर्जा के नाम से ही स्पष्ट होता है कि कोई वस्तु गति कर रही है जब कोई वस्तु गति कर रही होती है तब उस वस्तु में गतिज ऊर्जा होती है और जब कोई वस्तु स्थिर होती है तो उसमें स्थिर ऊर्जा होती है।
kinetic Energy Formula
Ek = kinetic energy
M = mass
V = velocity
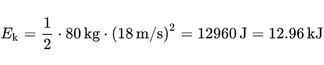
kinetic energy question & answer
कृप्या एक कमेंट अवश्य छोड़े , और इस आर्टिकल को फेसबुक और व्हाट्सऐप पर अपने दोस्तों के साथ शेयर करें नीचे शेयर बटन दिया गया है।
 
         
         
         
         
            











